Examples Of Detailed Outlines

Are you looking for examples of detailed outlines to help you organize your thoughts and streamline your writing process? Look no further! In this article, we’ll provide you with some practical and easy-to-follow templates that you can use to create clear and concise outlines for any project.

Creating a detailed outline is an essential step in any writing project, whether you’re working on a research paper, a business report, or a creative piece. An outline helps you structure your ideas, identify key points, and ensure that your writing flows logically from start to finish.

examples of detailed outlines

examples of detailed outlines

Examples of Detailed Outlines

One popular type of outline is the alphanumeric outline, which uses numbers and letters to organize information hierarchically. Another common format is the sentence outline, which provides a more detailed overview of each section of your writing. Whichever style you choose, make sure to tailor it to your specific needs and preferences.

For visual learners, a visual outline can be a useful tool to map out your ideas spatially. Mind mapping software, such as MindMeister or XMind, can help you create interactive and dynamic outlines that allow you to easily rearrange and visualize your thoughts.

Screenshot of keyword printable template

Remember, the goal of an outline is to help you stay organized and focused throughout the writing process. By using one of these examples of detailed outlines, you can save time, reduce stress, and produce more coherent and polished writing. So why wait? Start outlining today and see the difference it can make in your work!

5 Informal Outline Templates PDF Word

5 Informal Outline Templates PDF Word

100 Sentence Outline Examples

100 Sentence Outline Examples

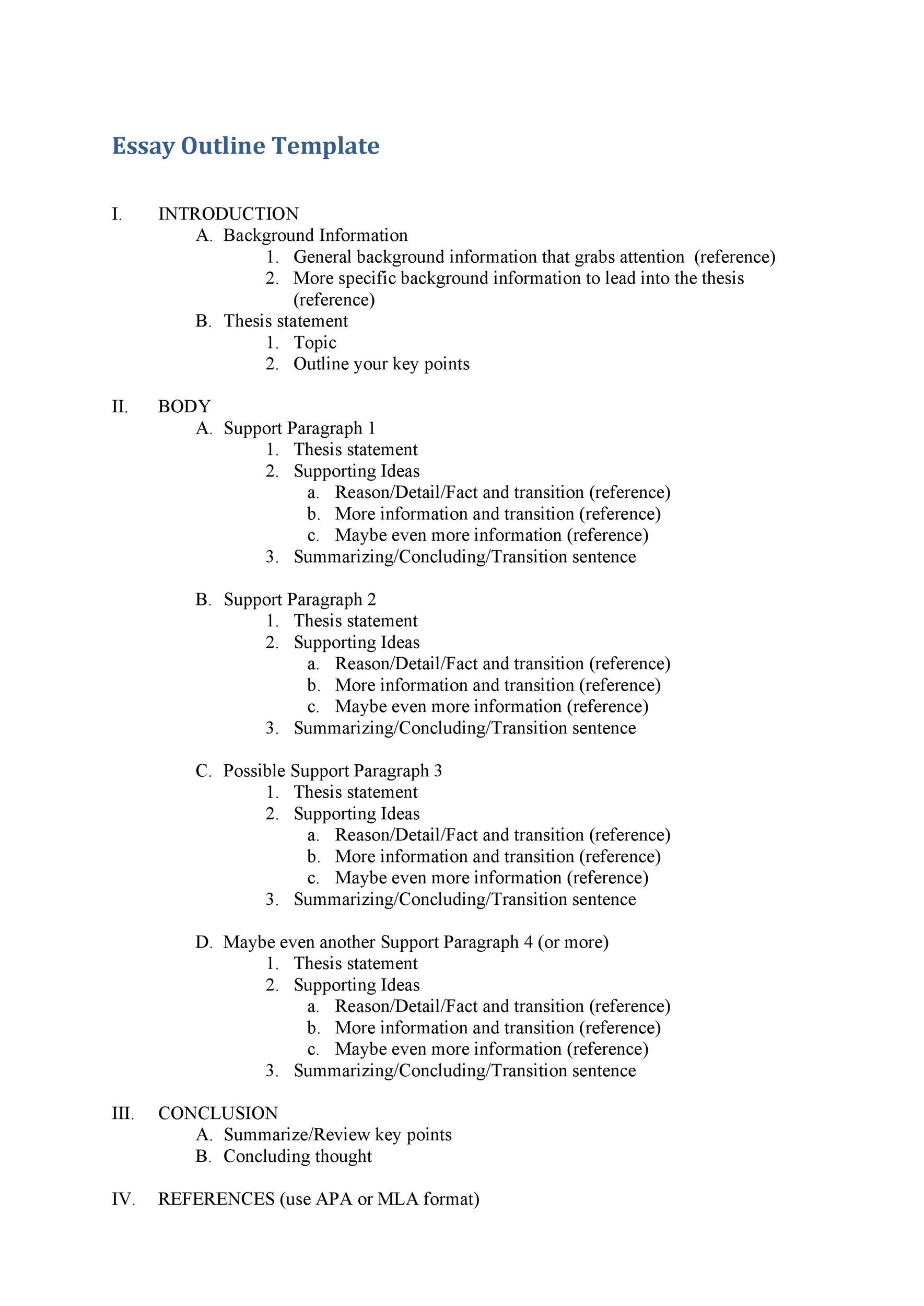
37 Outstanding Essay Outline Templates Argumentative Narrative Persuasive

37 Outstanding Essay Outline Templates Argumentative Narrative Persuasive

37 Outstanding Essay Outline Templates Argumentative Narrative Persuasive

37 Outstanding Essay Outline Templates Argumentative Narrative Persuasive

Outlines English 102 Journey Into Open

Outlines English 102 Journey Into Open